您需要

1位 2位 3位
保险客服为您解答【多家对比更放心】

复星保德信星海赢家(鲲鹏版)养老年金保险保什么?5年交领多少钱?

来源:保险海整理 浏览量:0 发布时间:2024-08-15 15:16  
导读:复星保德信星海赢家(鲲鹏版)养老年金保险是由复星保德信人寿承保的养老年金险。这款产品最高支持60周岁进行投保,提供养老年金、祝寿金、满期金、身故金等保障。那么,复星保德信星海赢家(鲲鹏版)养老年金保险保什么?5年交领多少钱?

复星保德信星海赢家(鲲鹏版)养老年金保险投保规则

  投保年龄:出生满30天-60周岁

  保险期间:至106周岁

  交费期间:趸交、3年交、5年交、10年交、15年交、20年交

复星保德信星海赢家(鲲鹏版)养老年金保险保什么?5年交领多少钱?

复星保德信星海赢家(鲲鹏版)养老年金保险保什么?

  如图所示:

复星保德信星海赢家(鲲鹏版)养老年金保险保什么?5年交领多少钱?

  养老年金

  自约定的首个养老年金领取日(含)起,如被保险人在每一养老年金领取日零时仍生存,保险公司将按以下约定给付养老年金,直至合同保险期间届满日(不含)或被保险人身故(以两者较早者为准)时止:

  (1)按年领取:每期养老年金领取金额为合同的基本保险金额;

  (2)按月领取:每期养老年金领取金额为合同的基本保险金额的8.5%。

  祝寿金

  如被保险人在年满99周岁后的首个保单周年日零时仍生存,保险公司将按合同实际交纳的保险费(不计息)给付祝寿金。

  满期金

  如被保险人在年满106周岁后的首个保单周年日零时仍生存,保险公司将按合同保险期间届满时的基本保险金额的10倍给付满期金,合同效力终止。

  身故保险金

  如被保险人于合同约定的首个养老年金领取日零时前身故,保险公司将按以下两项金额中的较大者给付身故保险金,合同效力终止:

  (1)被保险人身故时合同实际交纳的保险费(不计息);

  (2)被保险人身故时合同的现金价值

  若选择计划一,且被保险人于合同约定的首个养老年金领取日零时后身故,保险公司将按以下方式之一给付身故保险金:

  (1) 如合同实际交纳的保险费大于累计已给付的养老年金金额,则保险公司按两者之间的差额(不计息)给付身故保险金,合同效力终止;

  (2) 如合同实际交纳的保险费小于或等于累计已给付的养老年金金额,则我们不承担给付身故保险金的责任,合同效力终止。

  若选择计划二,且被保险人于合同约定的首个养老年金领取日零时后身故,则保险公司不承担给付身故保险金的责任。

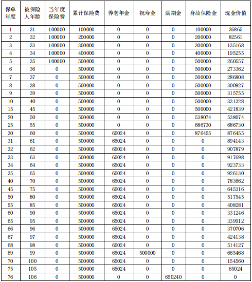
复星保德信星海赢家(鲲鹏版)养老年金保险5年交领多少钱?

  李先生,30周岁,为自己投保复星保德信星海赢家(鲲鹏版)养老年金保险,选择计划二。

  缴费期间:5年交;

  年交保费:10万元;

  基本保险金额:65024元;

  养老年金领取年龄:60周岁。

  则保单利益如下:

复星保德信星海赢家(鲲鹏版)养老年金保险保什么?5年交领多少钱?

  注:以上为案例演示,具体以条款/实际为准!

  以上就是关于“复星保德信星海赢家(鲲鹏版)养老年金保险保什么?5年交领多少钱?”的内容,如果您对以上推荐的产品感兴趣,或者想要了解更多保险产品,可以下方的点击“免费保险咨询。

版权声明:凡本网站注明“来源:保险海整理”的文章,版权均属保险海所有,如需转载,请按照相关规定获得授权。未经授权,禁止转载、摘编,如有违反,追究法律责任;资讯内容中如有提及保险产品信息仅供参考,具体请以保险公司官方正式条款为准;如有涉及信息准确性偏差,请联系保险海官方客服。
车险-车险报价-车险投保-保险海

养老险

Insurance
高级保险顾问帮您量身定制方案

您需要

1位 2位 3位
保险客服为您解答【多家对比更放心】

Copyright ©2017-2026 保险海 版权所有

网站备案号: 闽ICP备16037912号 闽公安网备35020302001939号

保险海是一个网上买保险网站,推荐合适保险代理人、提供在线保险咨询服务。网站地图

买保险,保险咨询,欢迎拨打免费保险客服热线

0592-3119715